Please choose your name.
Name:
Name
Mathematik Klasse 11
Quiz: Mittelwert
Waehle alle wahren Aussagen aus.
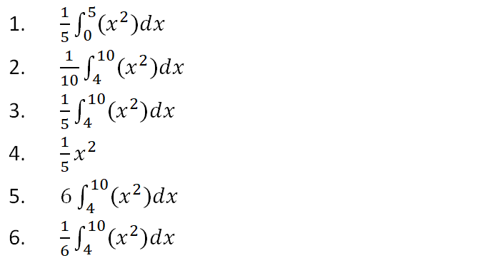
| 1. Ausdruck 1 ist die durchschnittliche Hoehe der Funktion x
2
ueber dem Intervall [0, 5].
| 2. Ausdruck 2 ist die durchschnittliche Hoehe der Funktion x
2
ueber dem Intervall [0, 10].
| 3. Ausdruck 3 ist die durchschnittliche Hoehe der Funktion x
2
ueber dem Intervall [4, 10].
| 4. Ausdruck 4 ist die durchschnittliche Hoehe der Funktion x
2
ueber dem Intervall [0, 5].
| 5. Ausdruck 5 ist die durchschnittliche Hoehe der Funktion x
2
ueber dem Intervall [4, 10].
| 6. Ausdruck 6 ist die durchschnittliche Hoehe der Funktion x
2
ueber dem Intervall [4, 10].
Test
Play/Pause
Big
Small
Normal
Your browser does not support HTML video.