Please choose your name.
Name:
Name
Mathematik Klasse 11
Quiz: Flaeche zwischen zwei Kurven
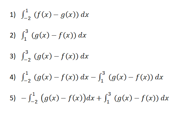
Waehle alle wahren Aussagen aus.
| 1. Die blaue Flaeche erhaelt man mit Ausdruck 1.
| 2. Die gelbe Flaeche erhaelt man mit Ausdruck 1.
| 3. Die gelbe Flaeche erhaelt man mit Ausdruck 2.
| 4. Die Summe aus blauer und gelber Flaeche erhaelt man mit Ausdruck 3.
| 5. Die Summe aus blauer und gelber Flaeche erhaelt man mit Ausdruck 4.
| 6. Die Summe aus blauer und gelber Flaeche erhaelt man mit Ausdruck 5.
Test
Play/Pause
Big
Small
Normal
Your browser does not support HTML video.