Please choose your name.
Name:
Name
Mathematik Klasse 11
Quiz: Extremwertaufgabe mit Nebenbedingung
Waehle alle wahren Aussagen aus.
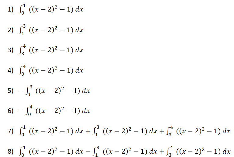
| 1. Die gruene Flaeche erhaelt man mit Ausdruck 1.
| 2. Die rote Flaeche erhaelt man mit Ausdruck 2.
| 3. Die blaue Flaeche erhaelt man mit Ausdruck 3.
| 4. Die Summe aus gruener, roter und blauer Flaeche erhaelt man mit Ausdruck 4.
| 5. Die Summe aus gruener, roter und blauer Flaeche erhaelt man mit Ausdruck 7.
| 6. Die Summe aus gruener, roter und blauer Flaeche erhaelt man mit Ausdruck 8.
Test