Please choose your name.
Name:
Name
Mathematik Klasse 11
Quiz: Bestimmtes Integral
Waehle alle wahren Aussagen aus.
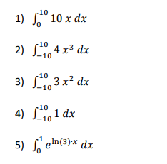
| 1. Das Ergebnis des bestimmten Integrals in 1) ist 500.
| 2. Das Ergebnis des bestimmten Integrals in 2) ist 20 000.
| 3. Das Ergebnis des bestimmten Integrals in 3) ist 2000.
| 4. Das Ergebnis des bestimmten Integrals in 4) ist 0.
| 5. Das Ergebnis des bestimmten Integrals in 5) ist ca. 2,73.
| 6. Das Ergebnis des bestimmten Integrals in 5) ist ca. 1,73.
Test
Play/Pause
Big
Small
Normal
Your browser does not support HTML video.